在此提供了一个兼具功效及成本效益的方法以实现对LED灯的控制。
在传统的方法中,针对每一LED均配备了专用的脉宽调制(PWM)控制器以控制至多个LED的输出,并通过控制器将输出电压转换为供给LED的电流。电压控制脉宽调制控制器常用于此用途。电流感应电阻与LED串联配置,将电压值反馈给控制器。因此,控制器实际上是工作于电压模式,并保持恒定的取样电压值,从而保持恒定的电流。该典型电路配置如图1所示。

图1 典型的脉宽调制控制器,用以产生恒定的电流
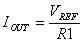
图1中,R1采样流经D1 的电流。其结果电压将在脉宽调制控制器中与一个基准电压进行比较,以确保开关在每一时钟周期的确定百分比的时间内闭合。在开关闭合期间,有足够的能量被转换至输出,以产生所需的电流,该电流流经R1。如果过多或过少的能量被转换,R1两端的电压将增加或减少,从而改变开关闭合的时间。上述转换的结果是闭环系统维持了R1两端的电压值,使其等于基准电压,并为二极管D1输送了恒定的电流,其电流值为:
上述方法的难点在于当应用中存在若干个LED时,每一LED都需要独有的控制器,且相应的需要更高的成本及板载空间。同时,由于控制器设计用于输出恒定的电流,因而典型的采用了较大的输出电容值,从而限制了对控制命令的快速响应程度。
一般的应用采用了多个彩色LED来产生白色光。此时,将至少需要红、绿及蓝三种LED。但此类应用通常包括了第4或第5个LED以试图获取特殊色调的白光。在典型的三色控制设定中,LED电流设定为特定的比例,50%至64%为绿光、25%至40%为红光、5%至15%为蓝光。该白光的合成(mimic)混合了一定频谱比例的红、绿及蓝光。上述合成方法需要采用三个分立的脉宽调制控制器,相应的增加了成本。每一控制器为单个LED供电,并通过改变其各自的脉宽调制责任周期完成对亮度的调节。
简化方法
该替换方法将产生一致的电流,并将LED串行连接配置。对于亮度的控制可通过与每一LED并联的场效应管(FET)开关实现。当FET开关打开,其共通的电流将分流绕过LED并使其关闭。其控制装置(control mechanism)可用于调整LED,以控制每一时钟周期内确定百分比的导通及关闭。该方法如图2所示,图中串行的LED具有相同的电流,并通过各自独立的并行FET开关实现调节。采用该方法的另一实现方式如图3的模块化构成所示。

图2 采用脉宽调制电流并联技术实现对LED的控制

图3 并联方法的方框图
在图3的方法中,通过LED串底部的感应电阻的控制,单个控制器可提供某一确定电流值。该系统由外部微控制器控制,以驱动电平偏移驱动器,实现对并联FET的控制。亮度的控制是通过调节每一FET的关闭时间百分比实现的,在FET关闭期间,电流将流经其各自的LED。此方法最大的优势就在于可应用廉价控制器的处理能力,以克服了某些LED的缺点。例如,蓝色LED效率较低,通常需要更高电流的驱动已达到亮度的平衡。通过适当的缩放FET的责任周期也可解决此问题,并产生同样的亮度平衡。由于是电流密度控制了光的辐射输出,辅助的亮度补偿方法将改善亮度的不均衡现象,该方法并联配置了两个更大的LED二极管,同时使得单个特定LED色彩的固有亮度有所减弱。图4所示电路即是为了验证此想法而构建。

图4 三LED控制电路示意图
上图电路中的控制器为TPS40200,与一对并联的电流感应电阻(R11及R5)协同运作,以保持恒定的输出电流流经串联的三个LED。此时,电路被设定为供给700mA的输出电流。每一并联FET(共三个)均由浮点型驱动器(floating driver)实现控制,可通过标准逻辑驱动,并从而可控制具有不同电压值(参考地电平)的FET。
该电路的输出电压由LED的前向电压及感应电阻两端的电压所确定。此时,输出电压约为10.5伏特。
由于此为恒定电流系统,在脉宽调制的输出端无需大的输出能力。从而不仅节省了元件成本,同时还有助于系统更快的响应输出电压的改变。此类改变的电压上升源于FET开关的导通,而电压下降的改变则源于LED下跌至某一更小的值(因FET的导通阻抗(Rdson)而导致)。 下方的图5举例说明了当某通道导通或关闭时的快速响应情况。如图所示,当脉宽调制控制器的控制环路无过冲或不稳定时,转换是平滑的。

图5 逻辑输入至LED输出电压的转换
通过数字输入控制LED串,用户可使用微处理器轻松的实现灯光特效,包括了简单的亮度调节、色彩改变直至光的方向性控制。通过相应的简单附加电路,用户还可使用此方法实现对LED亮度(可能随温度及时间而变)的补偿。其它例子特别展示了当使用廉价的处理器及温度感应时,红光LED的温度漂移(在光通量[luminous flus]超过50 degrees C时约为40%)可通过比例的改变红光LED的责任周期以实现调节。此外,老化效应还可通过单个光传感器对单个LED的周期性采样,并与早先存储于EEPROM中的光通量值进行比较的结果进行处理。处理器可调节责任周期以恢复色彩平衡,并保持所需的色彩。此电路的方法提供了一个简单的方式以通过处理器控制多个LED。通过此方法,针对LED老化及易变性的解决方案将以一种更为经济高效的方式实现。