3.4 电流误差放大器
电流误差放大器可以确保来自线路的输入电流遵循正弦曲线标准。放大器的正输入端为乘法器输出端。通过一个电阻器(通常与 RIMO 的值一样),负输入端被连接至电流合成器 (CS) 的输出端。电流误差放大器的输出端在 PWM 比较器中被比作锯齿波,并且因此结束了占空比。在该线路的零交叉处,占空比为其最大值。由于该占空比将接近 100%,变流器的正确复位变得越来越困难。标准 PWM 控制器在振荡器放电期间结束占空比,但是,由于 ZVT 运行,UC3855A/B 则可以按时达到100%。如果允许占空比接近100%,那么变流器便开始饱和,并使电流误差放大器认为正从该线路中流出的电流要比正被控制的电流要少。这样就使电流放大器补偿过度,从而引起零交叉上的线电流失真。另外,如果变流器饱和,那么就会丧失流限功能。由于这些原因,因此我们建议对电流放大器的输出端进行外部钳位控制,以限制最大占空比。图9显示了一个典型的钳位电路。
图9A 中的钳位电路性能非常好(见表 1),但是,如果要求有更高的性能,或者要求其工作在一个宽线压范围内,那么可以使用图 9B 中的电路。该电路将钳位电压调节为与线路成反比例。

A 电流误差放大器钳位电路

B 具有输入电压补偿功能的钳位电路
图 9 钳位电路
设置钳位电压的程序非常简单。如果在首次启动期间电流放大器钳位便被设定为一个相对较低的值(≈?4 V),那么该系统则可以运行,但带有过大的零交叉失真。一旦该系统处于工作状态,那么钳位电压在变流器没有饱和以前均可以增加,并且线电流具有一个可接受的 THD 水平。一旦钳位电压被设定,那么便可重复同其他器件运行。在用于通用线路运行及 500-W 输出的实验电路板中,单级钳位被设定为 5.6V(低线压、最大负载条件下),并且一个可接受的 THD 水平(< 10%)在所有线压和负载条件下可以被测量出来。钳位电压被设定在 PWM 比较器斜坡峰值(额定值为 6.5V)以下,以限制 DMAX。将钳位电压设定太低会引起过多的零交叉失真,因为该放大器不能充分地控制线电流。
图10A 和10B 分别显示了有钳位电流放大器和无钳位电流放大器的运行情况,而图 10C 则显示了将放大器输出电压钳位控制过低(顶部波形为线电流,底部波形为 VCAO)的结果。将钳位设置太高和没有钳位的结果是一样的。

图10 C/A 钳位对 I 线路的影响
除了必须要考虑到线路电压作用以外,设置两级钳位电路的程序均相同。该线路电压仅为线路补偿提供 100mV 到 200mV 的钳位电压。
在非常轻或者无负载的条件下,线路的平均电流要比正常情况下由电流误差放大器控制的平均电流低。为了防止出现过压情况,如果误差放大器的输出电压变为 ≈?1V 以下,该器件便进入脉冲跳跃模式。脉冲跳跃还会出现在高线压和低负载条件下。当 CAO 在 1V 以下时,脉冲跳跃比较器就被激活。在 OVP/ENABLE 电路中,该比较器的输出变为一个 OR 栅极输入,从而使该 OR 栅极输出增高。该信号防止了 ZVT 和主栅极驱动升高。
补偿电流误差放大器的程序将在设计程序部分 (IV) 中进行讨论。
3.5 电压误差放大器
输出电压被电压误差放大器的 VSENSE 输入感应到,并将其同一个内部生成的 3V 参考电压进行比较。放大器的输出,即 VEA,(在一个给定输入电压情况下)随着输出功率的变化成正比例变化。电压误差放大器的输出电压范围大约为 0.1V 至 6V。放大器的输出为乘法器输入之一,并且一个低于 1.5V 的输入电压抑制了该乘法器输出。在设计程序部分中对本补偿电压环路的设计程序进行了大致描述。
3.6 保护电路
3.6.1 OVP/ENABLE
UC3855A/B 将使能和 OVP 功能结合至一个引脚中。它需要一个最低 1.8V 的电压来运行该器件,如果低于该电压值,参考电压就会较低,同时振荡器被禁用。电压高于 7.5V 将中断对栅极的驱动。当出现过压条件时,应将电阻分压器调至 7.5V,这样才能保证以一个适宜的线电压进行启动。例如,如果将输出电压高于 450V 定义为过压条件,那么 VOUT 至 OVP 引脚之间的分压器的比例为 60:1。该分压器就能保证以 76 VRMS (108 VPK) 的线电压进行启动。
3.6.2 电流限制
UC3855A/B 具有逐脉冲限流功能。乘法器功耗限制决定了线路上的最大平均功耗。但是,在瞬态或过载条件下,峰值电流限制功能是有必要的。通过感应开关电流并将该值馈入 ION,如果开关电流信号高于 1.5V(额定值),则可以在一个中断栅极驱动信号的限流比较器上实施这种功能。
3.7 软启动
为了确保一个稳定可控的启动,UC3855A/B 提供了软启动 (SS) 功能。SS 引脚为一个外部电容器提供了 15μA 的电源。该电容器限制了电压环路误差放大器的电源电压,从而有效地限制了放大器的输出电压,以及最大的期望输出电压。这样就能保证输出电压以一种可控的方式升压。
3.7.1 欠压锁定
UC3855A 的启动阈值为 15.5V(额定值),并带有 6V 的滞后,而 UC3855B 的启动阈值为10.5V,并带有 0.5V 的滞后。
4 曲型应用
为了能够说明设计程序,并突出需要定义的设计参数,设计了这样一个典型应用。该设计规范为:
VIN=85-270 VAC
VO=410 VDC
PO (max)=500W
FS=250kHz
Eff >95%
Pf > 0.993
THD < 12%
上面提到的那些规范给出了一个常见的通用输入电压以及中等功耗应用。由于软开关以及零电压转换,现在我们可以实现 250kHz 的开关频率。Pf 和 THD 的数量与 UC3855 可实现的线路校正相符合。
4.1 设计程序
该设计程序是对 [8] 所提出内容的总结。但是为了固定组件值和/或指定更多可选用部件,一些值已被更改。
4.2 功率级设计
4.2.1 电感设计
ZVT 转换器中的功率级电感设计与传统升压转换器的设计一样。理想的开关纹波的数量决定了所需的感应,并且允许更多的纹波来减小电感值。低线路及最大负载情况下,峰值电流会出现比较糟糕的情况。峰值功耗为平均功耗的两倍,并且 VPK 为 VRMS。为了能计算出输入电流,需假设功率为 95%。

电流纹波与峰值电流之间一个比较好的折衷方案是允许 20% 纹波达到平均比率。这也使峰值开关电流保持在 10 A以下。

重新调节升压转换器的转换比率,求出 D 的解,得出:

我们现在能计算出所需的电感。

4.2.2 输出电容器选择
输出电容值不但会影响保持时间,而且还会影响输出电压纹波。如果保持时间 (tH)为主要的标准,则下面的方程式就给出了 CO 的值:

在这个例子中,对保持时间和电容器尺寸进行了折衷,并选用了一个值为 440 μF 的电容器。该电容器库是由两个并联的 220μF、450VDC 电容器构成。
4.2.3 功率 MOSFET 和二极管选择
所选用的主 MOSFET 为 Advanced Power Technology 公司推出的 APT5020BN(或同级别的产品)。该器件规格为 500V、23A,其 RDS(on) 为 0.20Ω ?(25℃)、COSS " 500 pF、且采用 TO-247 封装。一个 5.1Ω ?的电阻器与栅极串联放置,用来抑制启动时的寄生振荡,一个肖特基二极管及 2.7Ω 的电阻与该电阻器并联放置以加速关闭。在 GTOUT 和接地之间也将放置一个肖特基二极管,以避免引脚被驱动至接地以下,同时该二极管的放置应尽可能的靠近该器件。 所选择的升压二极管为 International Rectifier 公司推出的规格为 15-A、600V 的超速二极管 HFA15TB60(或同级别的产品)。试回想,一款采用了二极管软开关 ZVT 优势的转换器。在配置了 ZVT 的情况下,升压二极管对开关损耗的影响可以忽略不计,因此可以使用一个速度较慢的二极管。但是,在这个应用中,还是很有必要使用超速二极管。
根据二极管的恢复时间,确定 ZVT 电感的尺寸,并且速度较慢的二极管需要配置一个更大的电感。这就要求一个相应更长的 QZVT 开启时间,增加了传导损耗。较大尺寸的电感还需要更长的放电时间。为了保证谐振电感能完全放电,主开关的最短启动时间应近似等于 ZVT 电路启动时间。这就得出:

DMIN 会影响不断运行的升压转换器的最小允许输出电压。ZVT 电路的启动时间为一个稳定的 trr 功能,因此选择一个超快二极管使谐振电路损耗保持最小,并对输出电压产生最少的影响。由于对于大部分的谐振电路启动时间而言,有效系统占空比是主开关启动时间的主要功能,升压二极管正极的电压通过谐振电容器得到抑制。
这些考虑事项建议二极管的恢复时间应短于 75ns。该设计中的平均输出电流低于 1.2 A,峰值电流为 9.2A。二极管相关的传导损耗大约为 2.2 W。
当使用一个超速二极管时,二极管以极少的开关损耗模式运行。这就提升了整个系统的效率,并降低了二极管的峰值应力。
4.3 ZVT 电路设计
4.3.1 谐振电感
ZVT 电路设计简单易懂。该电路具有有源缓冲功能,例如,电感设计用于二极管的软关闭。选用的 ZVT 电容器用于 MOSFET 的软开关。
谐振电感为升压电感电流提供了一个预备电流通道,从而控制了二极管的 di/dt。当 ZVT 开关开启时,输入电流从升压二极管转移至 ZVT 电感。可以通过确定二极管关闭速度来计算出电感值。二极管的逆向恢复时间给出了其关闭时间。由于实际电路中的逆向恢复特性变化多样,以及各个厂商对逆向恢复的定义各异,因此很难计算出 Lr 的准确值。电路环境对逆向恢复产生影响的例子就是谐振电容器正常的缓冲作用,该电容器限定了二极管正极的 dv/dt。一个较好的初步估测就是允许电感电流在三次二极管标准逆向恢复时间内缓慢升高至二极管电流。最大电感值的限制就是其对最小占空比的影响。正如二极管选择章节所述,L?C 时间常数对 DMIN 产生影响,从而对 VO (min) 产生影响。将 Lr 设计得过大也会增加 ZVT MOSFET 的传导时间,并增加谐振电路传导损耗。当减小了 Lr 的值,会给二极管带来更强的逆向恢复电流,并且提高了通过电感和 ZVT MOSFET 的峰值电流。随着峰值电流增强,存储在电感中的能量也会增加(E = 1/2 x L xI2)。为了减少关闭时节点上的寄生振荡,该能量应保持在一个最小值。
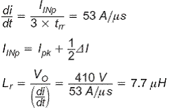
从某种程度上来说,二极管的逆向恢复是其关闭 di/dt 的一个功能。如果假设有一个可控 di/dt,那么该二极管的逆向恢复时间可以近似估测为 60ns。如果电感将上升时间限制为 180ns (3 x trr),则可以计算出电感。

磁芯损耗以及由此导致的温度上升限制了电感的设计,但不会使磁通密度饱和。这是由于强 ac 电流分量和相对较高的运行频率。一个好的设计程序在 [10] 已作了描述,已超出本文的讨论范围。但是本文已提及到几个要点。磁芯应该为材质较好的高频率低损耗材料,例如有气隙的铁氧体,或铁镍钼磁粉芯 (MPP)。在这一应用中一般不宜使用铁粉磁芯。相对不是太贵的铁硅铝磁芯,尽管与 MPP 相比较,具有更高的损耗,但还是可以使用该材质磁芯。损耗较高的材料实际上易于抑制 ZVT 开关关闭端的谐振。也可以通过将跨绕线电容保持至一个最小值的方式来优化电感绕组结构。这样就减少了关闭端的节点电容,同时也减少了所需的衰减量。
可以通过分析由 Lr 和 Cr 组成的谐振电路,以及当电流流至 lin 时确定谐振循环开始的方式找出电感电流。

其中,

由此,峰值电流等于 IIN 与输出电压除以谐振电路的特性阻抗的和。降低 Lr,或者增加 Cr 都会增加峰值电流。电感的设计是使用 Magnetics 公司的 MPP core 55209,带有 33 个绕组,电感为 8μH。该电感应使用 Litz 线或几股小磁线构建,从而将高频影响最小化。
4.3.2 谐振电容
谐振电容器的大小可以确保主开关的可控 dv/dt。高效谐振电容器的电容应为 MOSFET 电容与外部节点电容之和。APT5020BN 的输出电容大约为 500 pF,同时在外部添加了 500 pF 的电容。该电容器限制了关闭端的 dv/dt,由此减小了密勒效应。另外,由于开关电流转向至电容器,这样也减少了关闭损耗。电容器必须为一个较好的高频电容器,同时也需要较低的 ESR 和 ESL。电容器应也能对关闭端相对较强的充电电流进行调控。两种比较好的材质为聚丙烯膜介质,或陶瓷材料。
将 L 和 C 合并可得出谐振 1/4 周期:

现在可以计算出谐振电流对输出电压的影响。试回想,为确保谐振电感在高线压情况下的放电:

对于一个升压转换器而言,则为:

将 (1) 代入 (2),求解 VO,从而得出:

可以代入先前确定的值求解方程式 (3),得出一个 405V 的最小输出电压值。这就要求 VO 的设计值为 410 V。
4.3.3 ZVT 开关及整流器的选择
由于其漏-源电容的放电,因此 ZVT 开关也会带来一个最小限度的开启损耗。但是,由于谐振电感限制了开启电流,因此 ZVT 开关不会带来强电流和电压交迭。无论如何,开关都不会带来关闭及传导损耗。尽管峰值开关电流确实高于主开关电流,但是占空比较小,从而将传导损耗保持在一个较低的值。由于平均漏电流较低,因此 ZVT 开关为一个或两个裸片尺寸的大小,且小于主开关。ZVT 开关的开启时间为:

峰值 ZVT 开关电流等于峰值 ZVT 电感电流。通过假设出一个方波信号,可以得出开关 RMS 电流一个相对保守的近似值。RMS 电流近似值为:

这与最大负载和最大 ZVT 开启时间下峰值大约为 14 A 的情况相符合,但是,RMS 仅为 3.9 A。在这一应用中,比较合适的器件是 Motorola MTP8N50E,这是一款 500V、8A、RDS (ON) 为 0.8Ω 的器件。与 主MOSFET 一起,将一个 5.1Ω ?的电阻器与栅极串联放置,从而抑制开启端的寄生振荡,同时将一个肖特基二极管和电阻器与该电阻器并联放置,从而加速关闭。在 ZVTOUT 至接地端之间放置一个肖特基二极管,以防止引脚在低于接地时被驱动。该二极管的位置应尽可能的接近该器件。
ZVT 电路所需的整流器也将流过一个相对较弱的 RMS 电流。tZVT 到负载期间,二极管 D2 将返还存储于谐振电感中的能量。D2 应为一个超速恢复二极管,一般选用与 D1 速度相近的二极管。为 D2 所选用的二极管是 Motorola MURH860,这是一款 trr≈?35 ns、600V 的器件。
当电感重置时,二极管 D3 阻止电流流经 QZVT 主体二极管。该二极管与 QZVT 一样,具有相同的峰值和 RMS 电流。D3 应为一个快速恢复二极管,从而减弱来自谐振电感的 QZVT 的漏-源电容。当 ZVT 开关关闭时,存储于 D3 正极节点电容量会与 ZVT 电感发生谐振现象。将这一效应最小化会减少这一节点上所需的缓冲量。此处所选用的二极管为 MUR460。这是一款 trr≈?75ns、600V、4A 器件。
总而言之,ZVT 电路中的两个二极管都有较低的 RMS 电流。除了阻断电压(两种情况下都等于 VO),主要的选择标准为逆向恢复时间。选用具有快速恢复时间的器件将减少寄生振荡、降低损耗以及 EMI。
4.3.4 ZVT 缓冲电路
ZVT 电路需要更多的方法来抑制在 ZVT 电感电流降至 0 时就会发生的寄生振荡。图 10A 显示了没有经过适当抑制时 ZVT 电感电流及二极管 D2 正极电压。该图表明当电感电流开始向输出端放电(QZVT 处于关闭状态)时,正极电压则处于 VOUT(由于 D2 正在进行传导)。当电感电流变为零,由于贯穿主开关体二极管电感的另一端被控制至 0 V,电压振铃为负。正极电压能轻易地出现负振荡,以将输出电压翻一倍。这就增加了二极管的反向电压力,为输出电压的三倍!将节点电容量维持在一个最小值,并使用快速恢复二极管,不但可以减少振铃,而且还可提升电路性能。 一些抑制振荡的方法已经在 [4,7] 中提出。在这一电路中研究了两种方法,即饱和电抗器和电阻性阻尼。从接地到 D2 正极之间通过一个二极管连接一个 51Ω、10W 无电感电阻。饱和电抗器与谐振电感串联放置,并利用一个缠有 8 圈绕组的Toshiba 饱和磁芯 SA 14 x 8 x 4.5 进行实施。电阻性阻尼方法可以防止节点发生振荡。但是,当 D1 在进行传导时,这并不能阻止电流流入 D2(这是由于当 QMAIN 关闭时,dv/dt 会贯穿 Lr)。如果这个时候电流流经 D2,那么当 QZVT 开启时,D2 就会流过逆向恢复电流。由于其自身的高阻抗,饱和电抗器能阻止该电流。LS 也能阻止来自节点电容的 Lr,这就防止了节点发生振荡。
在没有电阻性阻尼的情况下,饱和电抗器能运行完好,而这也是该项设计中所选用的方法。饱和电抗器如果能有效的对电路进行减振,那么就可以免去电阻性阻尼的安装。但是,由于设计出来的 LS 是用来饱和每一个开关循环,所以磁芯损耗很大一部分取决于材质,同时该损耗能引起磁芯温度上升过高。在这一电路中,磁芯降温处理是必需的。通过使用一个更大的 MS 18 x 12 x 4.5,尝试了另一个可选设计,该 MS 运行时温度更低,尽管它也需要进行降温处理。对该电路的优化处理能有效地减少 ZVT 电路中的损耗。在该设计中,阻尼网络损耗大约为 2W。图 10B 显示了使用 LS 对节点进行阻尼的相同电路的情况。

图 11 ZVT 振铃波形
4.3.5 ZVS 电路
接下来我们将选择 ZVS 电路组件。在该示例中,使用了一个 1kΩ 的电阻器来阻止 ZVS 引脚的运行。所选用的电容器为 500 pF。这一组合要求大约 200ns 的时间来完成充电至 2.5V 阈值。
